Due Friday, February 9 at 4:00 pm Pacific
Solutions are available!
Grading Update
- Submissions received by the original deadline (Friday 2/9 at 4PM PT) will earn a small "on-time" bonus. We will add the bonus points onto your assignment score (approximately 5% of the total points available for this assignment).
- There is a penalty-free 48-hour "grace period" for late submission. The grace period allows you to submit the assignment after the deadline, with no impact on your grade. Therefore, the latest you can submit within the grace period is Sunday 2/11 at 4PM PT.
- The Sunday deadline is firm and you will not be able to use additional late days on this assignment. To be clear: unless you have a prior extension due to OAE accommodations, we will not accept any submissions after Sunday at 4PM.
- Problem Set 5 will still be released according to our normal assignment cadence.
This fourth problem set explores graph theory and the pigeonhole principle. It’s designed to take you on a tour of the beauty of finite structures and some of their amazing properties.
Good luck, and have fun!
$\LaTeX$ Template
If you would like to type your solutions in $\LaTeX$, you may want to download this template file where you can place your answers:
This problem set does not have a coding component.
Problem One: Independent and Dominating Sets
As a refresher from lecture, an independent set in a graph $G = (V, E)$ is a set $I \subseteq V$ with the following property:
\[\forall u \in I. \forall v \in I. \Set{u, v} \not\in E \text.\]Now, a new definition. A dominating set in $G$ is a set $D \subseteq V$ with the following property:
\[\forall v \in V. (v \not\in D \to \exists u \in D. \Set{u, v} \in E)\text.\]In general, whenever you find a new definition or new mathematical term, it’s good to play around with the definition a bit to get a feel for what it looks like.
-
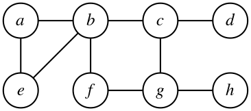
Give two different examples of dominating sets of the graph shown below, each of which has cardinality four or less. No justification is necessary.

-
Let $G = (V, E)$ be an arbitrary graph with the following property: every node in $G$ is adjacent to at least one other node in $G$. Prove that if $I$ is an independent set in $G$, then $V - I$ is a dominating set in $G$.
Notice that we're asking you to show that $V - I$ is a dominating set, not that $I$ is a dominating set. Also, we recommend drawing some pictures here to get a sense of how this works.
Use the formal definitions to guide your proofs. If you proceed via a direct proof or via contrapositive, what, exactly, will you be assuming, and what will you be proving? If you write this as a proof by contradiction, what specifically is it that you’re assuming for the sake of contradiction?
An independent set $I$ in a graph $G$ is a maximal independent set in $G$ if there is no independent set $I'$ in $G$ where $I \subsetneq I'$. (Here, $I \subsetneq I'$ denotes that $I$ is a strict subset of $I'$, meaning that $I \subseteq I'$ and $I \ne I'$).
-
Find independent sets $I$ and $J$ of the graph from part (i) of this problem such that $I$ is maximal but $\abs{I} \lt \abs{J}$. No justification is necessary.
Yes, this is possible. The definition of a maximal independent set is meant to be taken literally.
-
Prove that if $I$ is a maximal independent set in $G = (V, E)$, then $I$ is a dominating set of $G\text.$
You can build a great intuition for this result by drawing some pictures and thinking about what has to happen for a set of nodes to be an independent set and for a set of nodes to be a dominating set. When it comes time to write out your proof, however, you’ll need to use the formal first-order definitions of independent sets, maximal independent sets, and dominating sets.
Something to ponder: what happens if you have a maximal independent set that isn't a dominating set?
Independent and dominating sets have applications in complexity theory, error-correcting codes, and resource allocation. Take CS154 and CS250 to learn more!
Problem Two: Friends, Strangers, Enemies, and Hats
In lecture, we proved the Theorem on Friends and Strangers, which says that if you have a group of six people where, for each pair of people, those people either know one another (they’re friends) or they don’t know each other (they’re strangers), you can always find three mutual friends or three mutual strangers. Here, “three mutual friends” means “three people where each two of them are friends,” and “three mutual strangers” means “three people where each two of them are strangers.”
This is one of many different results about what must happen when you get a sufficiently large number of people together. The rest of this problem explores some other results in that vein.
-
There’s a party with 36 attendees. Each person is wearing a hat, and there are seven possible hat colors: aureolin, bole, chartreuse, drab, ecru, fulvous, and gamboge. (Yes, those are all colors.) As in the Theorem on Friends and Strangers, for any pair of people at the party, either the pair are friends or the pair are strangers.
Prove that you can always find three mutual friends all wearing the same color hat or three mutual strangers all wearing the same color hat.
In the course of solving this problem, you will likely need to make sure of the Theorem on Friends and Strangers from lecture. If you do, you should just cite the result from lecture rather than reproving it from scratch. For example, you could say something like "by the Theorem on Friends and Strangers, we know that … ." As usual, though, don't repeat the theorem in the abstract. Instead, apply it to some specific scenario to state some new fact you learn as a result.
In lecture, when we proved the Theorem on Friends and Strangers, we started with a high-level "party trick" description of the problem, but then ended up proving a technical result about graphs and graph theory. You're welcome to reframe this problem in terms of graphs if it would make your proof easier.
There’s a party with 17 attendees. This time, things are a bit more complicated. For each pair of people at the party, either those people are strangers, those people are friends, or those people are enemies. Fortunately, none of them are wearing hats. 😃
Prove that you can always find three mutual friends, or three mutual strangers, or three mutual enemies.
Find problems like these interesting? Take Math 107 (Graph Theory) or Math 108 (Combinatorics)!
Problem Three: Bipartite Graphs
The bipartite graphs are an important and common family of graphs. They appear in a huge number of settings – error-correcting codes, computational social choice theory, and algorithm design, to name a few.
Let’s begin with a formal definition. An undirected graph $G = (V, E)$ is called bipartite if there exist two sets $V_1$ and $V_2$ such that
- every node $v \in V$ belongs to at least one of $V_1$ and $V_2$;
- no node $v \in V$ belongs to both $V_1$ and $V_2$; and
- every edge $e \in E$ has one endpoint in $V_1$ and the other in $V_2$.
The sets $V_1$ and $V_2$ here are called bipartite classes of $G$.
-
Suppose you have an $8 \times 8$ chessboard. We form a graph from the board as follows: there's a node for each square on the board, and an edge between any pair of squares that are immediately adjacent in one of the four cardinal directions (up, down, left, and right).
Explain why this is a bipartite graph by telling us what the bipartite classes are and briefly explaining why all the edges have one endpoint in each bipartite class.
Don’t do this in your head – draw lots of pictures!
Bipartite graphs have many interesting properties. One of the most fundamental is this one:
Theorem: An undirected graph $G$ is bipartite if and only if it contains no closed walks of odd length.
The forward direction of this implication has a nice intuition.
-
Explain, intuitively, why if $G$ is bipartite, then it has no closed walks of odd length. Specifically, give us a brief, informal explanation as to why every closed walk in $G$ has to have even length.
It might help to draw some pictures.
The reverse direction of this implication – that if $G$ has no closed walks of odd length, then $G$ is bipartite – requires a different sort of argument.
Let’s pick some arbitrary graph $G = (V, E)$ that has no closed walks of odd length. For simplicity’s sake, we’ll assume that $G$ has just one connected component. If $G$ has two or more connected components, we can essentially treat each one of them as independent graphs. (Do you see why?)
Now, choose any node $x \in V$. Using node $x$ as an “anchor point,” we can define two sets $V_1$ and $V_2$ that we’ll need for the remainder of this argument:
\[V_1 = \Set{v \in V \suchthat \text{there is an odd-length walk from } x \text{ to } v }\] \[V_2 = \Set{v \in V \suchthat \text{there is an even-length walk from } x \text{ to } v }\]This turns out to be a really useful way to group the nodes of $G$.
-
Given the choices of $G$ and $x$ from above, prove that $V_1$ and $V_2$ have no nodes in common.
Remember that there might be multiple different walks of different lengths from $v$ to some other node $x$, so be careful not to talk about “the” walk between $v$ and $x$. Also note that these walks are not necessarily paths.
-
Using your result from part (iii), prove that $G$ is bipartite.
The most common mistake on this problem is to not address all the parts of the definition of a bipartite graph. Specifically, your proof must address all three bullet points in the definition supplied in the problem statement. So start off by writing down a list of what you need to prove, then address each part in turn.
Want to learn more about bipartite graphs and their applications? Take CS161 (algorithms), CS224W (deep learning on graphs), or CS250 (error-correcting codes)!
Optional Fun Problem: Forced Triangles
Let $G = (V, E)$ be a graph where each node has been given one of three different colors (ecru, puce, and zomp - and yes, those are all colors) such that no two nodes of the same color are adjacent to one another. Furthermore, suppose there are exactly $n$ nodes of each color.
Prove that if every node $v \in V$ has degree at least $n+1\text,$ then $G$ contains a triangle (a copy of $K_3\text{).}$