Porous Glass Electroosmotic Pumps for Direct Methanol Fuel Cells
Principal Investigators: J.G. Santiago, C.R. Buie, S. Litster
|
Figure 1. Schematic of the free convection DMFC with EO pump experimental setup including vertically-oriented, free-convection DMFC; flow sensor; integrated EO pump and fuel reservoir; pump power supply; and Keithley Sourcemeter (providing fixed current density loads). |
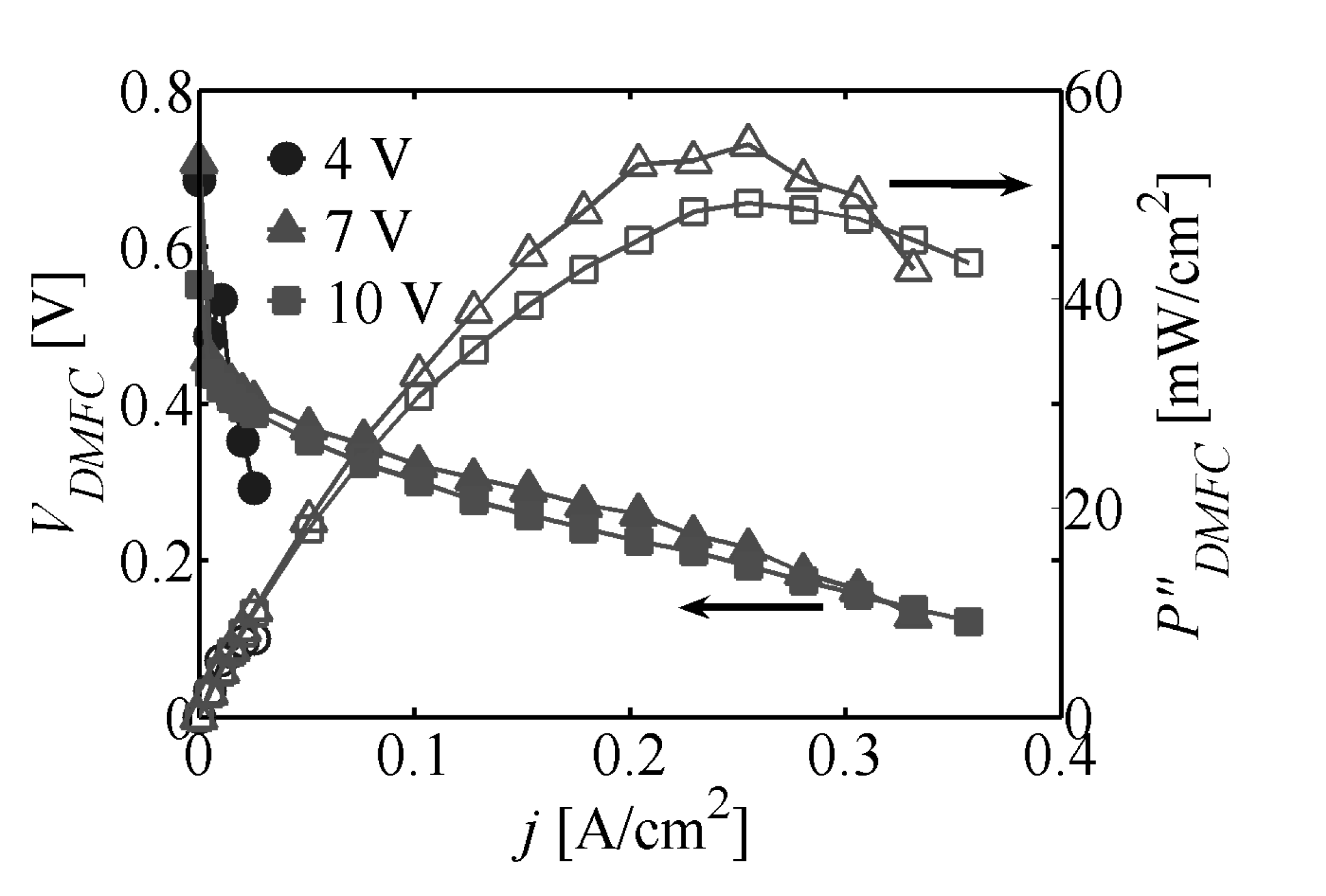
We’ve shown [1] that porous glass EO pumps can be used to distribute methanol to DMFCs using less than 5% of the power resulting from the fuel cell. The EO pump used in our study is a commercially available borosilicate glass frit (Robu Glasfilter, Germany) that was not optimized for methanol pumping, and yet clearly demonstrates the potential of applying EO pumps to DMFCs. A schematic of our experimental setup is shown in Figure 1. Figure 2 shows typical polarization and power density data for the DMFC supplied with methanol/water solutions by the EO pump. Figure 2a-c shows data for 2.0, 4.0, and 8.0 M methanol concentrations, respectively. We applied EO pump potentials (Vapp) of 4.0, 7.0, and 10 V to deliver methanol solutions to the DMFC anode. The closed symbols (left axis) are the polarization data and the open symbols (right axis) are the gross (not including EO pump losses) output power density data.
Together Figure 2a-c show the variations of gross system power as a function of methanol concentration and applied pump power. The highest achieved gross power density of 55 mW/cm2 occurs at Vapp = 7.0 V for 4.0 M methanol. Increases in methanol concentration allow decreased Vapp but also result in reduced cell potential and reduced gross DMFC power density due to fuel crossover as in the 8.0 M case. Crossover rate scales roughly with average methanol concentration and crossover decreases DMFC potential [2]. Peak fuel cell system power is achieved at intermediate levels of both methanol concentration and pump voltage. The overall maximum net power output (100 mW) corresponds to the 4.0 M case at Vapp = 7.0 V, with a parasitic power ratio of roughly 4.5%. For our system, Vapp and methanol concentration govern the maximum achievable net power density. For a given Vapp, pump flow rate is a strong function of the hydraulic load imposed by the cell [3, 4]. In turn, the pressure drop in the DMFC anode is a strong function of current density which rules the production of CO2 gas and required methanol flow rates [5].
(c) |
Figure 2 . Polarization (closed symbols, left axis) and power density (open symbols, right axis) curves for 2 M (a), 4 M (b), and 8 M (c) aqueous methanol concentrations. EO pump applied voltages are 4 V (○,●), 7 V (D,▲), and 10 V (□,■). The maximum net system power occurs in the 4 M, 7 V case (b, D) which achieves the proper balance between increased concentration for lower Vapp without prohibitive crossover effects. |
Recently we’ve developed a novel experimental technique to measure void fraction, liquid slug length, and velocity of the slug/annular two phase flow exiting a DMFC anode [5]. Measurements of key parameters in two phase flow, including mixture (or phase) velocity, void fraction (or quality), and pressure drop, are critical to the development of engineering models for pressure drop relationships and for validation of existing models. We developed a novel method of measuring liquid phase velocity and volume fraction using two liquid level sensors (Optek OPB350). These sensors are sold for process engineering applications and they detect the presence of liquid (vs. gas) in a tube using an IR photodiode source and a photodiode detector. A high electric signal indicates high transmission of IR (liquid in a channel ~5 mm long channel section), while a low signal indicates low transmission (gas). We place two of these sensors a known distance apart and determine liquid slug velocity, void fraction, and liquid slug length by processing the signal (including time-delayed cross-covariance analysis). The sensors connect to the outlet of the DMFC through a 1.5 mm inner diameter Teflon tube. The tubing has a high contact angle (roughly 110o) and so aids in the separation of liquid and gas phases, and, most importantly, helps prevent annular flow; which would add significant uncertainty to the technique. Figure 3 is a schematic of our DMFC experimental setup configured to measure liquid phase velocity and void fraction of the two phase mixture exiting the fuel cell.
![]() |
Figure 3. Schematic of the experimental setup including free convection DMFC, syringe pump, pressure transducer, phase and velocity sensors, multizone temperature controller, and Keithley Sourcemeter (providing fixed current density loads). With the exception of the syringe pump, the entire system is controlled via PC running LabView 8. The Keithley Sourcemeter communicates over GPIB while the phase/velocity sensors and pressure transducer interface through a data acquisition card (National Instruments PCI-3061E). A function generator (not shown) provides external triggering to facilitate precise synchronization of measurements from the phase/velocity sensors and pressure transducer. |
For the explored channel geometry we’ve shown that pressure drop across the anode scales with the number of slug/bubble interfaces, surface tension, and hydraulic diameter (Dh) [5-7]. Figure 3a, Figure 3b, and Figure 3c are the DMFC polarization, anode pressure drop, and number of gas bubbles in the anode channel, respectively, for 1 M methanol concentration and varying inlet flow rate (supplied by a syringe pump). The key observation is that current density at maximum pressure load is correlated with the current density that possesses the largest average number of gas bubbles. This suggests that the dominant term in the pressure drop across the anode is a function of the total number of gas bubbles within the flow channel. Ultimately, this work will aid in the design of fuel pumps for miniature DMFC systems.
|
Figure 3. Polarization curves (a), pressure drop (b), and number of bubble/slug interfaces (c) for 1 M concentration methanol supplied at 50 (O), 100 (∆), 200 ( |
[1] C. R. Buie, D. Kim, S. Litster, and J. G. Santiago, "An electro-osmotic fuel pump for direct methanol fuel cells," Electrochemical and Solid State Letters, vol. 10, pp. B196-B200, 2007.
[2] X. Ren, T. E. Springer, and S. Gottesfeld, "Water and methanol uptakes in Nafion membranes and membrane effects on direct methanol cell performance," Journal of the Electrochemical Society, vol. 147, pp. 92-8, 2000.
[3] S. H. Yao, D. E. Hertzog, S. L. Zeng, J. C. Mikkelsen, and J. G. Santiago, "Porous glass electroosmotic pumps: Design and experiments," Journal of Colloid and Interface Science, vol. 268, pp. 143-153, 2003.
[4] S. H. Yao and J. G. Santiago, "Porous glass electroosmotic pumps: Theory," Journal of Colloid and Interface Science, vol. 268, pp. 133-142, 2003.
[5] C. R. Buie and J. G. Santiago, "Model and Experimental Study of Hydrodynamic Coupling between a Fuel Pump and a Direct Methanol Fuel Cell," ECS Transactions, 2008.
[6] M. J. Fuerstman, A. Lai, M. E. Thurlow, S. S. Shevkoplyas, H. A. Stone, and G. M. Whitesides, "The Pressure Drop Along Rectangular Microchannels Containing Bubbles," Lab on a Chip, pp. 1479-1489, 2007.
[7] H. Wong, C. J. Radke, and S. Morris, "The motion of long bubbles in polygonal capillaries. Part 2. Drag, fluid pressure and fluid flow," Journal of Fluid Mechanics, vol. 292, pp. 95-110, 1995.








